Navigation
1. qPCR data 
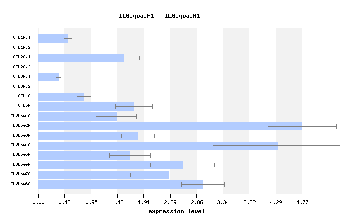
QPCR Relative Expression Quantification (TLV-Low-1 Anterior) : IL6.qoa.F1 IL6.qoa.R1
QPCR Relative Expression Quantification (TLV-Low-1 Posterior) : IL6.qoa.F1 IL6.qoa.R1
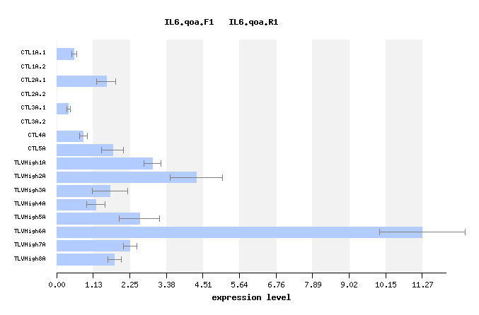
QPCR Relative Expression Quantification (TLV-High-1 Anterior) : IL6.qoa.F1 IL6.qoa.R1
QPCR Relative Expression Quantification (TLV-High-1 Posterior) : IL6.qoa.F1 IL6.qoa.R1
QPCR Amplification Data : IL6.qoa.F1 IL6.qoa.R1 CTL1A.1 CM031955:C3;CM031955:C4;CM031955:D3
QPCR Amplification Data : IL6.qoa.F1 IL6.qoa.R1 CTL1P.1 CM031955:C1;CM031955:C2;CM031955:D1
QPCR Amplification Data : IL6.qoa.F1 IL6.qoa.R1 CTL2A.1 CM031955:C7;CM031955:C8;CM031955:D7
QPCR Amplification Data : IL6.qoa.F1 IL6.qoa.R1 CTL2P.1 CM031955:C5;CM031955:C6;CM031955:D5
QPCR Amplification Data : IL6.qoa.F1 IL6.qoa.R1 CTL3A.1 CM031955:C11;CM031955:C12;CM031955:D11
QPCR Amplification Data : IL6.qoa.F1 IL6.qoa.R1 CTL3P.1 CM031955:C9;CM031955:C10;CM031955:D9
QPCR Amplification Data : IL6.qoa.F1 IL6.qoa.R1 CTL4A CM032429:G1;CM032429:G2;CM032429:H1
QPCR Amplification Data : IL6.qoa.F1 IL6.qoa.R1 CTL4P CM032429:E1;CM032429:E2;CM032429:F1
QPCR Amplification Data : IL6.qoa.F1 IL6.qoa.R1 CTL5A CM032429:G3;CM032429:G4;CM032429:H3
QPCR Amplification Data : IL6.qoa.F1 IL6.qoa.R1 CTL5P CM032429:E3;CM032429:E4;CM032429:F3
QPCR Amplification Data : IL6.qoa.F1 IL6.qoa.R1 TLVHigh1A CM033515:K11;CM033515:K12;CM033515:L11
QPCR Amplification Data : IL6.qoa.F1 IL6.qoa.R1 TLVHigh1P CM033515:K9;CM033515:K10;CM033515:L9
QPCR Amplification Data : IL6.qoa.F1 IL6.qoa.R1 TLVHigh2A CM033515:K15;CM033515:K16;CM033515:L15
QPCR Amplification Data : IL6.qoa.F1 IL6.qoa.R1 TLVHigh2P CM033515:K13;CM033515:K14;CM033515:L13
QPCR Amplification Data : IL6.qoa.F1 IL6.qoa.R1 TLVHigh3A CM033515:K19;CM033515:K20;CM033515:L19
QPCR Amplification Data : IL6.qoa.F1 IL6.qoa.R1 TLVHigh3P CM033515:K17;CM033515:K18;CM033515:L17
QPCR Amplification Data : IL6.qoa.F1 IL6.qoa.R1 TLVHigh4A CM033515:K23;CM033515:K24;CM033515:L23
QPCR Amplification Data : IL6.qoa.F1 IL6.qoa.R1 TLVHigh4P CM033515:K21;CM033515:K22;CM033515:L21
QPCR Amplification Data : IL6.qoa.F1 IL6.qoa.R1 TLVHigh5A CM033515:M3;CM033515:M4;CM033515:N3
QPCR Amplification Data : IL6.qoa.F1 IL6.qoa.R1 TLVHigh5P CM033515:M1;CM033515:M2;CM033515:N1
QPCR Amplification Data : IL6.qoa.F1 IL6.qoa.R1 TLVHigh6A CM033515:M7;CM033515:M8;CM033515:N7
QPCR Amplification Data : IL6.qoa.F1 IL6.qoa.R1 TLVHigh6P CM033515:M5;CM033515:M6;CM033515:N5
QPCR Amplification Data : IL6.qoa.F1 IL6.qoa.R1 TLVHigh7A CM033515:M11;CM033515:M12;CM033515:N11
QPCR Amplification Data : IL6.qoa.F1 IL6.qoa.R1 TLVHigh7P CM033515:M9;CM033515:M10;CM033515:N9
QPCR Amplification Data : IL6.qoa.F1 IL6.qoa.R1 TLVHigh8A CM033515:M15;CM033515:M16;CM033515:N15
QPCR Amplification Data : IL6.qoa.F1 IL6.qoa.R1 TLVHigh8P CM033515:M13;CM033515:M14;CM033515:N13
QPCR Amplification Data : IL6.qoa.F1 IL6.qoa.R1 TLVLow1A CM033515:I19;CM033515:I20;CM033515:J19
QPCR Amplification Data : IL6.qoa.F1 IL6.qoa.R1 TLVLow1P CM033515:I1;CM033515:I2;CM033515:J1
QPCR Amplification Data : IL6.qoa.F1 IL6.qoa.R1 TLVLow2A CM033515:I23;CM033515:I24;CM033515:J23
QPCR Amplification Data : IL6.qoa.F1 IL6.qoa.R1 TLVLow2P CM033515:I21;CM033515:I22;CM033515:J21
QPCR Amplification Data : IL6.qoa.F1 IL6.qoa.R1 TLVLow3A CM033515:K3;CM033515:K4;CM033515:L3
QPCR Amplification Data : IL6.qoa.F1 IL6.qoa.R1 TLVLow3P CM033515:K1;CM033515:K2;CM033515:L1
QPCR Amplification Data : IL6.qoa.F1 IL6.qoa.R1 TLVLow4A CM033515:I3;CM033515:I4;CM033515:J3
QPCR Amplification Data : IL6.qoa.F1 IL6.qoa.R1 TLVLow4P CM033515:I5;CM033515:I6;CM033515:J5
QPCR Amplification Data : IL6.qoa.F1 IL6.qoa.R1 TLVLow5A CM033515:I7;CM033515:I8;CM033515:J7
QPCR Amplification Data : IL6.qoa.F1 IL6.qoa.R1 TLVLow5P CM033515:I9;CM033515:I10;CM033515:J9
QPCR Amplification Data : IL6.qoa.F1 IL6.qoa.R1 TLVLow6A CM033515:I11;CM033515:I12;CM033515:J11
QPCR Amplification Data : IL6.qoa.F1 IL6.qoa.R1 TLVLow6P CM033515:I13;CM033515:I14;CM033515:J13
QPCR Amplification Data : IL6.qoa.F1 IL6.qoa.R1 TLVLow7A CM033515:I15;CM033515:I16;CM033515:J15
QPCR Amplification Data : IL6.qoa.F1 IL6.qoa.R1 TLVLow7P CM033515:I17;CM033515:I18;CM033515:J17
QPCR Amplification Data : IL6.qoa.F1 IL6.qoa.R1 TLVLow8A CM033515:K7;CM033515:K8;CM033515:L7
QPCR Amplification Data : IL6.qoa.F1 IL6.qoa.R1 TLVLow8P CM033515:K5;CM033515:K6;CM033515:L5

Copyright ©2008,2017, all rights reserved.